400-700-9998
欧美大地 乐动在线官网-(中国)官方网站 地球科学 地震勘探 孔中 P波震源 SBS 42 P波震源
乐动在线官网-(中国)官方网站中心
SBS 42 P波震源

型号:SBS 42

用途:SBS42型孔中震源由IPG5000脉冲发生器供能,用于在充水井孔中激发压缩波(P波)。 乐动在线官网-(中国)官方网站咨询

标准规范:《公路工程物探规程》JTG/T C22-2009 《水电水利工程物探规程》DL/T 5010-2005 《电力工程物探技术规程》DL/T 5159-2012

相关乐动在线官网-(中国)官方网站
乐动在线官网-(中国)官方网站详情
应用案例
解决方案
SBS 42 P波震源


SBS42型孔中震源由IPG5000脉冲发生器供能,用于在充水井孔中激发压缩波(P波)。产生的地震信号的一致性高。由IPG5000生成的能量流经同轴电缆,最终由尾端的两个相邻电火花电极瞬间释放。产生的高压等离子使水瞬间蒸发,形成蒸汽气泡并随后膨胀破裂,从而生成高频的地震波。


触发精度:

通过由远程控制单元(RCU)控制的脉冲发生器(IPG5000)的手动或自动触发释放火花脉冲。RCU将脉冲发生器的参考信号转换为精确的时断信号,精度为几微秒。

信号稳定性和频率响应:

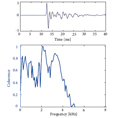
使用了相干谱计算来评估震源的重复稳定性,使用了相干谱计算。相干函数值“1”表示的重复稳定性,而相干函数值“0”的则表示毫无重复稳定性。测试表明,P波火花源SBS42在低频至4-5kHz频率时均具有相当高的重复稳定性。


信号稳定性相干谱图像

激发信号示例:


                                                                                                                                                           硬岩,孔间距100m      松散饱和沉积物,孔间距20m

性能指标:

生成的地震波类型: P波
信号频率: 最大5 kHz(视地质情况和孔距而定)
可操作深度: 最大400 m
探头长度: 645 mm
探头直径: 45 mm
探头重量: 3.8 kg
电缆重量: 206 g每米
电缆可承受拉力 3400 N
适用孔径: 最小 50 mm
耦合装置: 不需要
深度标记: 电缆上每2米
接头: 至脉冲发生器 IPG5000
存放:绞于绞盘